Iklan 300x250

37 1045 steel ttt diagram

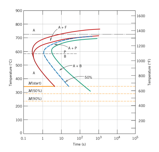
TTT diagram of 1045 Carbon Steel The TTT diagram of 1045 steel shows what happens to steel when first heated to the austenitic region and is subsequently cooled. If immediately quenched, the alloy enters the martensitic region. If cooled more slowly, like an air-cooled specimen, ...

Fig. 3, TTT Diagram for 1045 Steel Both steel specimens, A36 and 1045, can be classified as hypoeutectoid, since their carbon content is below 0.76%. Therefore, the region of interest in the phase diagram is to the far left of fig. 5. For A36, the carbon content is .25-.29 wt%, while 1045 is .45%-.50 wt%.

Ttt Diagram 1045 Steel I have samples of AISI and in a 10*10* dimension. The CCT/ TTT diagram for alloy steel will easily allow you to form. I have made an attempt to describe TTT diagram and Heat Treatment to Experimental study of getting TTT diagram for 08% C in Steel C.

1045 steel ttt diagram

1045 steel ttt diagram

AISI-SAE 1045 - 0.45 % C ... be different than a TTT diagram. 15 Slow Cooling Time in region indicates amount of microconstituent! 16 Medium Cooling Cooling Rate, R, is Change in Temp / Time °C/s. 17 Fast Cooling This steel is very hardenable… 100% Martensite in ~ 1

Time Temperature Transformation (TTT) diagram of AISI 1045 steel [9] In the present study, V-shaped arc welding of the AISI 1045 steel is modeled by using 2D Finite Element Model (FEM). The ...

The objective of this laboratory is to construct a partial Time-Temperature-Transformation (TTT) curve for a 1045 ferritic steel using light microscopy and standard stereological techniques. Background The decomposition of austenite in hypoeutectoid steels Figure 1 is a portion of the Fe3C phase diagram.

1045 steel ttt diagram.

You just don't have enough alloying elements like Mo, Ni or B in carbon steel to retard the ferrite/pearlite transformation. If you quenched this material, you will form martensite. The CCT/TTT diagram for 4340 alloy steel will easily allow you to form bainite. RE: Bainitic Steel, AISI 1045. Salvatio (Materials)

Phase Diagram 1045 Steel TTT Diagram 4140 Tempering Diagram Stress Relieving 4140 Phase Diagram TTT Diagram 1045 4140 Steel Ttt Diagram Wiring Diagram Pictures April 19th, 2019 - 4140 Steel Ttt Diagram Apr 08 2019 Thank You for visiting our website Today we are pleased to declare we have discovered a very

Download scientific diagram | CCT diagram of AISI 1045 steel to evaluate cooling time τ M from publication: Intensive Quenching of Steel Parts: Equipment and Method | The paper discusses an ...

transformations in steel. It illustrates how to use an equilibrium phase diagram, TTT curves, ITT curves and CCT curves to specify a heat treatme nt, understand the development of a microstructure and, to a lesser extent, the relationship between microstructure and properties. Four different heat treatments are performed.

These diagrams allow the prediction of hardness and microstructure in the center of any diameter bar. This is also the most common method for displaying CCT diagrams. Figure 1: CCT diagram for AISI 1060 steel. Figure 2: CCT diagram for AISI 5160 steel. As can be seen in the diagrams, the AISI 5160 steel has a greater hardenability (Figure 2).

When a piece of steel of appropriate size is heated to different austenitizing temperature (680 o C, 780 o C and 880 o C) which is then water quenched and the phase transformation of 1045 steel can be studied. Heating on different austenitizing temperature gives different mechanical properties i.e., hardness and different microstructures.

TTT diagram for eutectoid steel shown in relation to the Fe-Fe 3.Dec 13, · RE: Bainitic Steel, AISI metengr (Materials) 21 Sep 04 As a follow-up, I reviewed the CCT/TTT diagram for an AISI Type carbon steel and it would appear that the ferrite/austenite upper nose protrudes before the bainite nose, meaning you would form ferrite before the ...

ASTM SAE AISI 1045 steel is one of the commonly used medium carbon steels with an average carbon content of 0.45%, medium tensile properties, good strength, toughness and wear resistance. It can be treated by annealing, flame treatment or induction hardening. C1045 is also known as 1045 cold rolled steel (cold worked), and 1045 hot rolled steel ...

1045 Steel Ttt Diagram. I have made an attempt to describe TTT diagram and Heat Treatment to Experimental study of getting TTT diagram for 08% C in Steel C. Heat Treatment of schematron.org - Download as PDF File .pdf), Text File .txt) or read online. TTT diagram for eutectoid steel shown in relation to the Fe-Fe 3.

sample of 1045 steel, air cooled from ~800C for 15sec then water quenched. HRC of 43. Temperatures not really known. Air cooled in cool room. water was 26C intially. My thinking: Theoretically the microstructure might be anything that lies along the time:15sec vertical line of the 1045 TTT diagram, giving almost anything there but bainite.

Effect of carbon content The main difference between the 1021, 1045 and 1095 steels is their carbon content. 1.3 From the steel phase diagram, explain why there is a large "A+F" region in the TTT diagram for the 1021 steel, a very small one in the 1045 steel and none in the 1095 steel. 1.4 Explain the variation of Ms temperature with C content.

1045/1050 Steel Steel name: 1045/1050 Diagram No.: 1387 Type of diagram: TTT AISI/SAE designation: 1045/1050 Chemical composition in weight %: 0.47% C, 0.67% Mn, 0.06% Cu Steel group: Constructional and structural steels Note: Austenitizing temperature: 843 o C (1550 o F). Grain size: 50% 8, 50% 5. Reference: Not shown in this demo version.

4 BAB II TINJAUAN PUSTAKA DAN LANDASAN TEORI Dalam melakukan ...

4 bab ii tinjauan pustaka dan landasan teori dalam melakukan ...

Time-Temperature-Transformation (TTT) diagram or S-curve refers to only one steel of a particular composition at a time, which applies to all carbon steels.This diagram is also called as C-curve isothermal (decomposition of austenite) diagram and Bain's curve.The effect of time-temperature on the microstructure changes of steel can be shown by the TTT diagram.

Time Temperature Transformation (TTT) diagram of AISI 1045 ...

Time temperature transformation (ttt) diagram of aisi 1045 ...

TTT diagram of 1045 Steel Diagram of steel layout of sample analyzation Graphs that show hardness of steels after different quenching methods Microstructure of different steels after different quenching methods Graph showing the temperature of steels after during quenching methods Microstructure of 1045 steel after different quenching methods

12.03 – Hardenability of Steel

12.03 – hardenability of steel

1.4 TTT diagram for 4140 steel We can gain some quantitative insight as to what happens in 4140 steel under a general thermal cooling history from a temperature in the austenite (A) regime by examining its isothermal Time-Temperature-Transformation (TTT) curve, as shown in Fig. 2. The

Continuous cooling transformation (CCT) diagrams of steel ...

Continuous cooling transformation (cct) diagrams of steel ...

Figure 2: TTT diagram for 4140 steel In this project, quenching is used to cool the part and just as important to stop the grain growth process. The bigger a grain grows the higher the hardness value. In this project the focus is on the austenitic grain growth. When the bar is quenched, it

EXPERIMENT 6

Experiment 6

Isothermal transformation diagrams for SAE 1045 steel are shown in Figure 6-4. Heat Treatment of Steels Common steels, which are really solid solutions of carbon in iron, are body-centered-cubic. However, the carbon has a low solubility in bcc iron and precipitates as iron carbide when steel is cooled from 1600 ºF (870C). The processes of ...

How the Crystal Structure of Carbon-Steel Changes during ...

How the crystal structure of carbon-steel changes during ...

toget Ttt Diagram Of Aisi 1045 Steel Book file PDF. file Ttt Diagram Of Aisi 1045 Steel Book Free Download PDF at Our eBook Library. This Book have some digitalformats such us : kindle, epub, ebook, paperbook, and another formats. Here is The Complete PDF Library

Solved Read here first please: Only question a) i) is | Chegg.com

Solved read here first please: only question a) i) is | chegg.com

Description of TTT Diagrams for Hypoeutectoid and Hypereutectod steels. Effect of alloying in TTT Diagrams.

Heat Treatment of Steels

Heat treatment of steels

Answer to Solved What is the resultant microstructure of 1045 steel if

Solved What is the resultant microstructure of 1045 steel if ...

Solved what is the resultant microstructure of 1045 steel if ...

Determination of TTT diagram for eutectoid steel Davenport and Bain were the first to develop the TTT diagram of eutectoid steel. They determined pearlite and bainite portions whereas Cohen later modified and included M S and M F temperatures for martensite. There are number of methods used to determine TTT diagrams. These are salt bath (Figs. 1-

Application of polymeric quenchant in heat treatment of crack ...

Application of polymeric quenchant in heat treatment of crack ...

Examples on how to use TTT Diagrams

Solved 5. Using the isothermal transformation diagram for a ...

Solved 5. using the isothermal transformation diagram for a ...

1045 Steel Steel name: 1045 Diagram No.: 5653 Type of diagram: TTT AISI/SAE designation: 1045 Chemical composition in weight %: 0.45% C, 0.26% Si, 0.67% Mn, 0.009% P, 0.012% S, 0.06% Ni, 0.009% Mo Steel group: Carbon steels Note: No data Reference: Not shown in this demo version. Transformation Diagram Price: 30.00 US $ Buy Online ...

Massachusetts Institute of Technology Department of ...

Massachusetts institute of technology department of ...

CCT diagram of AISI 1045 steel to evaluate cooling time τ M ...

Cct diagram of aisi 1045 steel to evaluate cooling time τ m ...

CCT diagram of 2.25Cr-1Mo steel [12] | Download Scientific ...

Cct diagram of 2.25cr-1mo steel [12] | download scientific ...

15n20 ttt diagram? Bainite questions - Metallurgy and other ...

15n20 ttt diagram? bainite questions - metallurgy and other ...

Heat Treatment of Steels - ppt video online download

Heat treatment of steels - ppt video online download

Solved Using the isothermal transformation diagram for a ...

Solved using the isothermal transformation diagram for a ...

ENGR 240 Science of Materials

Engr 240 science of materials

BAB II LANDASAN TEORI

Bab ii landasan teori

TTT Diagrams - for Steel

Ttt diagrams - for steel

Heat Treatment of Steels

Heat treatment of steels

SIQUAL 1191 Steel (Mat.No. 1.1191, DIN Ck45, AISI 1045)

Siqual 1191 steel (mat.no. 1.1191, din ck45, aisi 1045)

SIHARD 1545 Steel (Mat.No. 1.1545, DIN C105W1, AISI W1)

Sihard 1545 steel (mat.no. 1.1545, din c105w1, aisi w1)

SIHARD 1545 Steel (Mat.No. 1.1545, DIN C105W1, AISI W1)

Sihard 1545 steel (mat.no. 1.1545, din c105w1, aisi w1)

Untitled

Untitled

AISI 1045 Steel

Aisi 1045 steel

Heat Treatment of Steels

Heat treatment of steels

SIHARD K140 Steel (AISI S5)

Sihard k140 steel (aisi s5)

TTT Diagram Example | Engineering Materials

Ttt diagram example | engineering materials

Solved 5. Using the isothermal transformation diagram for a ...

Solved 5. using the isothermal transformation diagram for a ...

Solved •Specimen Type 1: Specimen as received (AISI 1045 ...

Solved •specimen type 1: specimen as received (aisi 1045 ...

Solved Question: Using the isothermal transformation diagram ...

Solved question: using the isothermal transformation diagram ...

Calculated continuous cooling transformation diagram for the ...

Calculated continuous cooling transformation diagram for the ...

G.v.Tardy

G.v.tardy

chapt 10 solutions

Chapt 10 solutions

Annealing and Normalizing of AISI 1045 Steel: A Lamellae Analysis

Annealing and normalizing of aisi 1045 steel: a lamellae analysis

0 Response to "37 1045 steel ttt diagram"

Post a Comment

Iklan Atas Artikel

Iklan Tengah Artikel 1

Iklan Tengah Artikel 2

Iklan Bawah Artikel